2023년 공무원 월급표가 공개되었습니다. 이번에는 일반직 공무원과 일반직에 준하는 특정직 및 별정직 공무원 월급표를 가지고 왔습니다. 공무원 시험에 관심이 있으신 분들은 공무원 월급이 얼마나 될지 많이 궁금하실 텐데 미리 확인하시고 시험 응시여부를 결정하시기 바랍니다.

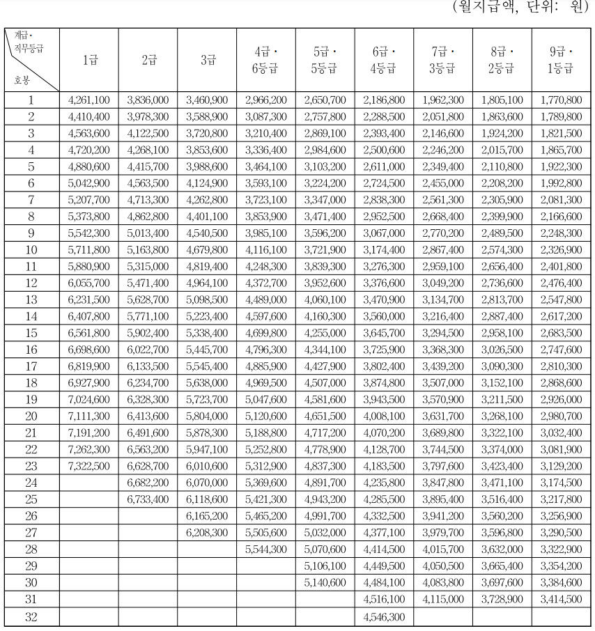
2023년 일반직 공무원 월급표
2023년 공무원 보수는 전년도 대비 1.7% 인상되었습니다. 이 인상률은 5급 이하(5급 포함) 전 공직자에게 해당되는 인상률입니다.

9급 1호봉 실수령 금액
9급 초임(1호봉) 월급은 1,770,800원입니다. 관련 경력이 없는 여성분은 처음에 1호봉부터 시작하게 됩니다. 실수령액은 160만 원 초반이 될 것 같습니다.

9급 3호봉 실수령 금액
관련 경력이 있거나 군대를 다녀온 남성의 경우 경력 2년을 합산하여 3호봉부터 시작됩니다. 3호봉의 경우 1,821,500원입니다. 실수령액은 약 165만 원가량 될 것 같습니다.

2023년 최저시급이 9,620원이고 월급으로 계산 시 2,010,580원이니 최저임금보다 못한 금액이라 조금 당황스러우실 텐데 다행히 공무원 보수는 기본급이 전부가 아닙니다.
공무원 보수체계 알아보기
위에서 설명드린 월급표는 기본급에 해당합니다. 공무원은 각종 수당 및 실비변상 금액이 많아 생각보다 많은 금액을 받을 수 있습니다. 다만 직종, 근속연수, 부양가족 유무, 근무지역, 초과근무 여부, 직급 등에 따라 받을 수 있는 수당이 다르다는 점은 참고하시기 바랍니다.
따라서 직접 월급을 받아보면 생각했던 것보단 많이 받으실 수 있습니다. 하지만 그렇다고 해도 대기업만큼은 받지 못하는 것은 어쩔 수 없습니다.

공무원은 돈은 많이 받지 못하지만 안정적인 만큼 요즘 구직자들에게 선망의 대상이 되고 있습니다. 하지만 공무원이 되어도 민원이나 많은 업무에 치여 힘들게 합격한 공무원 자리를 그만두는 경우도 많으니 자신의 성격이 공무원 업무와 잘 맞는지 반드시 잘 확인 후 시험에 응시하길 바랍니다.
2023년 소방직 공무원 월급표 및 실수령액
2023년 소방직 공무원 월급표가 지난 1월 6일 개정되어 공개되었습니다. 일반직 공무원, 경찰공무원을 비롯한 모든 직군의 월급표가 궁금하실 경우 공무원 보수규정을 통해 확인하실 수 있습니다
dia-spoon.co.kr
2023년 경찰 공무원 월급표 및 실수령액
2023년 경찰 공무원 월급표가 공개되었습니다. 2023년 1월 6일 개정되어 발표되었으며 공무원 보수규정 [별표 10 - 경찰공무원·소방공무원 및 의무경찰 등의 봉급표]을 통해 확인할 수 있습니다. 경
dia-spoon.co.kr
'공무원' 카테고리의 다른 글
| 국가직 9급 공무원 경쟁률, 합격선(2022년) (0) | 2023.05.04 |
|---|---|
| 2023년 일반직 공무원 연봉 (0) | 2023.05.03 |
| 경찰공무원 계급 체계 및 승진기간 (0) | 2023.04.25 |
| 2023년 소방직 공무원 월급표 및 실수령액 (0) | 2023.04.24 |
| 2023년 경찰 공무원 월급표 및 실수령액 (0) | 2023.04.21 |